近日,我院王昕教授课题组联合国际呼吸道病毒流行病合作联盟,在国际权威期刊《柳叶刀·全球卫生》(Lancet Global Health)发表题为《全球副流感病毒季节性的区域与型别差异及气候因素的影响:一项系统综述和Meta分析》(Regional and type-specific variations in the global seasonality of human parainfluenza viruses and the influence of climatic factors: a systematic review and meta-analysis)的研究论文。
人副流感病毒(human parainfluenza viruses, hPIVs)是导致呼吸道传染病的常见病毒,其四种血清型(hPIV-1、hPIV-2、hPIV-3、hPIV-4)在全球范围内广泛流行。团队前期研究发现其流行高峰主要集中于夏季,特定人群研究提示其季节性特征存在显著的型别差异和地域特征,然而不同型别副流感病毒在全球范围内的季节性特征及其空间异质性仍缺乏系统性评估。因此,本研究通过整合国际呼吸道病毒合作联盟共享数据、文献数据库及公开监测数据中的多源hPIV季节性特征数据,结合各监测站点气象资料,运用团队自主研发的跨地区多源数据整合分析方法,在全球范围内系统探究不同型别hPIV季节性特征。
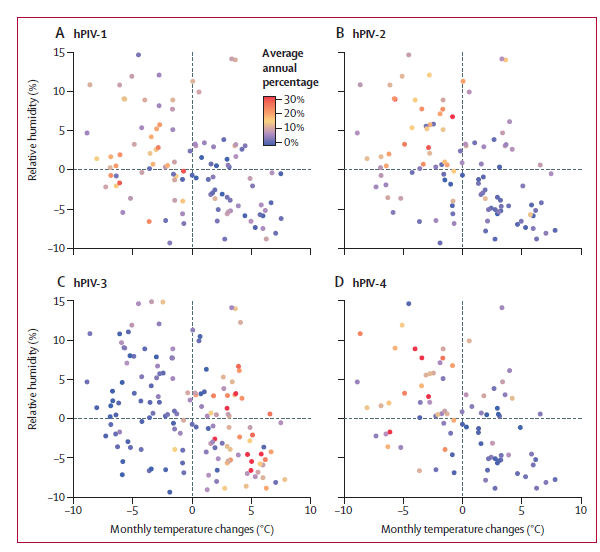
研究发现,hPIV-3季节性特征与其他三种亚型存在明显差异:在南北半球温带地区,hPIV-3流行季主要集中在春夏季,且不同纬度地区的流行起始时间和高峰时间较为一致;而hPIV-1、hPIV-2和hPIV-4的流行季主要集中于深秋、冬季和早春,且随着纬度增加,其流行季出现明显延迟,不同亚型的流行强度与气象因素间存在特异性关联模式。在预测模型构建方面,亚型特异气象模型的预测效能显著优于非分型模型,其中温带地区hPIV-1、hPIV-2和hPIV-3模型表现最佳,经筛选月度气温差值和相对湿度为关键预测因子;但在热带和亚热带地区,模型的预测效果仍相对有限,研究结果对构建全球hPIV监测网络、建立区域精准化预测预警和防控策略提供科学依据。

图1 不同纬度hPIV及各亚型季节性流行强度分布

图2 温带地区hPIV各型别月度流行强度随气象因素变化特征
Lancet Global Health杂志发表同期述评,评价本研究“实现了对副流感病毒季节性流行特征迄今最全面的全球解析,标志着该领域研究的一个重要突破(represents a major step forward by providing the most comprehensive global characterisation to date of hPIV seasonality)”,并指出研究“为揭示副流感病毒传播的生物学驱动因素提供了重要依据,同时证实了气象建模在其疫情预测中的实用价值(This type-specific, climate-responsive perspective offers important insights into the biological drivers of transmission and supports the use of meteorological modelling in epidemic forecasting)”。
我院王昕、李有教授为论文的共同通讯作者,硕士研究生陈俊如、博士研究生邓舒予为共同第一作者。原文链接:https://pubmed.ncbi.nlm.nih.gov/40712614/